引言
随着碳化硅(SiC MOS)产品的迭代发展,SiC MOS相比于Si IGBT的高频应用潜力得到越来越多工程师的关注。这是由于在开关过程中,得益于SiC MOS的高电子饱和漂移速度,载流子能迅速在导通与截止状态间切换,从而显著减少开关时间。
与此同时,SiC MOS这一单极型器件在续流过程中没有p型衬底的电荷存储,使得反向恢复损耗低于Si IGBT这一双极性器件,SiC MOS的反向恢复电荷仅为同规格硅器件的十分之一左右,在应用中可以选择SiC MOS的体二极管作为续流二极管,进一步提升系统的功率密度并降低成本。
为了更好的挖掘SiC MOS的高频应用潜力,业界逐步将双脉冲测试(DPT)作为评估SiC MOS动态特性的标准方法,那什么是双脉冲测试平台呢?

图1. 双脉冲测试电路的拓扑结构
一个典型的半桥感性负载双脉冲测试电路拓扑如图1所示,包括母线电源VBUS、母线电容CBUS、感性负载电感LLoad、陪测管、被测管、栅极驱动VG、栅极负载RG、电流探头(通常为罗氏线圈或同轴电阻)以及走线和元器件引入的杂散电感。由于上桥的源端浮空,通常将陪测管保持被动续流状态放置在上桥,被测管放置在下桥受VG控制,保持被测管的源极接地。
测试过程中VG发射两个脉冲,第一个脉冲T1的脉宽较长,感性负载电流IL线性上升,其计算公式为:ILoad≈(VBUS*T1)/LLoad。死区时间和第二个脉冲的脉宽较短,测试只需关注第一个脉冲的关断波形和第二个脉冲的开启波形。
下面深圳汇芯将介绍SiC MOS双脉冲测试时的三个关键技术节点。
1.探头时间偏移
在进行双脉冲测试时,示波器使用2个电压探头分别监控栅极电压VG和漏极电压Vds,电流探头监控负载电流。通常同型号的两个电压探头之间校准较为容易,可以通过测试同一个脉冲信号计算信号延迟,再补偿信号差值,然而电流探头与电压探头之间测量较为容易出现时间偏移,偏移量大概在几个ns到几十个ns,这样微小的差距将导致测量的巨大误差。
图2为一组SiC MOS的实测数据,两组数据的电流数据偏差10ns,校准前的Eon=3618.4uJ、Eoff= 894.5uJ。校准过程将栅源电压达到阈值电压Vth的时刻和电流抬起的时刻对齐作为校准标准,将整体电流数据向前推移10ns,校准后的Eon=3218.7uJ、Eoff=1326.6uJ。因此,探头时间偏移将对器件的性能判断产生巨大的干扰,探头时间偏移需要定期矫准。
图2探头时间偏移对双脉冲测试的影响:

(1)器件开启过程

(2)器件关断过程
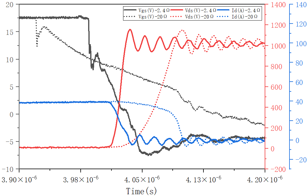
2.栅极电阻选择
栅极电阻的选择也将极大的影响测试结果,SiC MOS的规格书通常将Rg为2Ω左右作为测试标准,测得的开关损耗通常很低,但在实际应用中这样小的Rg无法应用于实际工况。选择更小的Rg可以提高栅极驱动向栅极电容的充电电流,加快SiC MOS沟道形成速度从而提高功率回路的di/dt,使得电压和电流波形交叠的区域变窄,进而降低开关损耗。
然而过高的di/dt会导致电流过冲,这也对器件的安全工作区(SOA)提出了挑战。图3(1)展示了Rg=2.4Ω、IL=40A时的开关波形,测得损耗Eon=724.9 uJ,Eoff=162.5 uJ,过冲电流在极短的时间内爬升至123A,达到了负载电流的三倍。图3(2)展示了Rg=20Ω、IL=40A时的开启波形,过冲电流被抑制到了57A,损耗Eon=2208.5 uJ,Eoff=928.4 uJ。综上所述,Rg的选择需要在电流过冲和开关性能之间折中选择,或是针对客户应用需求来设置。
图3. 栅极电阻对双脉冲测试的影响:

(1)器件开启过程

(2)器件关断过程
4.杂散电感管理
杂散电感对开关损耗的影响是至关重要的,同样也是容易被忽略的。这里描述的杂散电感不仅来自于测试拓扑,同样来自于封装引脚。在SiC MOS的栅极、源极和漏极都存在杂散电感,其中以源极的影响最大。以TO-247-3L封装产品为例,其栅驱动回路和功率回路之间存在一个共源极电感,当较大的di/dt流经杂散电感会产生电位变化,使得源极电位浮动,最终反馈至栅驱动回路导致开关速度变慢。而TO-247-4L封装产品为栅极引入了开尔文回路,将共源极电感旁路来降低开关损耗。
尽管TO-247-4L封装已经在结构层面显著降低了杂散电感的影响,但插件式封装的引脚自身引入的杂散电感仍不可忽略。为了研究这一影响,分别用两种插接方式测试了同一颗TO-247-4L器件,第一组测试器件完全插接至PCB测试板中,另一组测试则保留部分器件的引脚未插接至PCB测试板。两组测试的测试结果如图4所示,完全插接器件测得损耗Eon=3043uJ、Eoff=1145.9uJ,未完全插接器件测得损耗Eon=3219.2uJ、Eoff=1256.6uJ,未完全插接器件的开关损耗显著提高。因此测试人员需要尽量规范化插接,保证测试的重复性。
为了更深入的量化分析测试结果,可以通过双脉冲曲线的SiC MOS提取杂散电感。开启过程中,漏源电流上升的电流变化率dIL/dt基本为定值,这会在漏源两端产生了一个相反的感应电势,致使Vds波形出现一段电压下降△VL,通过这一现象即可大致估算测试回路的杂散电感L=△VL/(dIL/dt),完全插接器件测得杂散电感为31.1nH,未完全插接器件测得杂散电感为40.3nH,正是这9.2nH的差距导致了如此大的开关损耗差距。如果希望更进一步降低损耗,可以选择贴片式产品如TOLL封装,从而最大限度的消除插件式引脚带来的杂散电感影响。
图4. TO-247-4L引脚对双脉冲测试的影响:

(1)器件开启过程

(2)器件关断过程
小结
深华颖半导体作为中国的SIC制造商,供应SiC mos 和SiC模块等产品,在该系列产品中,深华颖半导体推荐一款已经被市场检验过的产品型号:
封装:TO-247-3L
电压: 1200
应用:
- 太阳能逆变器
- 开关电源
- 高压dc-dc转换器
- 电池充电器
- 电机驱动
- 欢迎词电动汽车充电
技术特点:
- 具有低反向恢复时间(Qrr)的快速内建二极管
- 无卤素,符合 RoHS 标准

